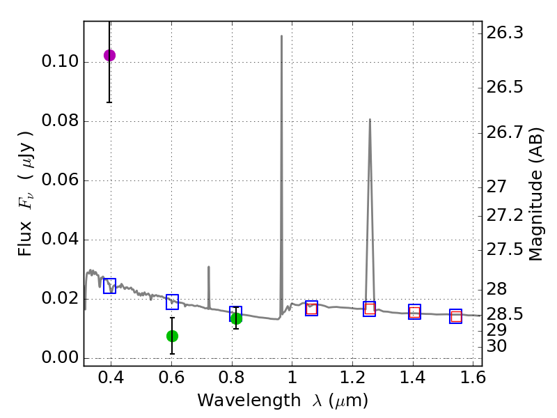
RXS0603+42-S IR detection object #6950

Color images and BPZ results
Catalog: 6950.cat
Black segments are analyzed here.   Roll mouse over color images to view segments.
Best viewed in a wide browser window (1200 pixels or more).   Download SED & P(z) plots to view larger versions.
In P(z) plots: Yellow lines mark the cluster redshift z = 0.228,  

Object #6950   x,y = (3488, 1151)   RA, Dec = (06:03:21.096, 42:08:35.52) = (90.83790, 42.14320)   BPZ = 1.593 [0.526--2.566]   type = 11.00 (SB11_A_0_l)   stellarity = 0.43   chisq2 = 26.58   ODDS = 0.16   z_cluster = 0.228