RXS0603+42-S IR detection object #693

Color images and BPZ results
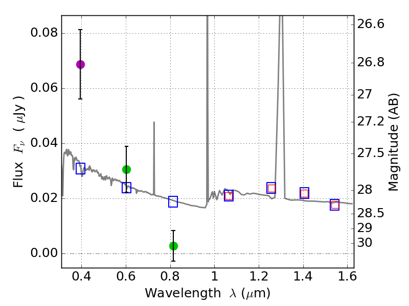
Catalog: 693.cat
Black segments are analyzed here.   Roll mouse over color images to view segments.
Best viewed in a wide browser window (1200 pixels or more).   Download SED & P(z) plots to view larger versions.
In P(z) plots: Yellow lines mark the cluster redshift z = 0.228,  

Object #693   x,y = (2006, 4048)   RA, Dec = (06:03:29.088, 42:11:29.40) = (90.87120, 42.19150)   BPZ = 1.596 [1.112--2.462]   type = 11.00 (SB11_A_0_l)   stellarity = 0.36   chisq2 = 16.80   ODDS = 0.25   z_cluster = 0.228