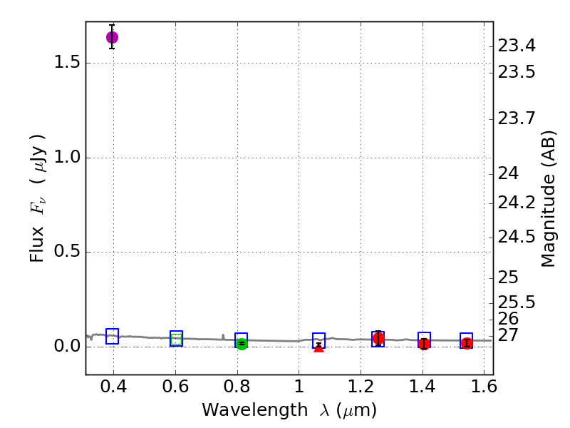
RXS0603+42-S IR detection object #6850

Color images and BPZ results
Catalog: 6850.cat
Black segments are analyzed here.   Roll mouse over color images to view segments.
Best viewed in a wide browser window (1200 pixels or more).   Download SED & P(z) plots to view larger versions.
In P(z) plots: Yellow lines mark the cluster redshift z = 0.228,  

Object #6850   x,y = (2573, 1207)   RA, Dec = (06:03:26.016, 42:08:38.76) = (90.85840, 42.14410)   BPZ = 1.697 [1.376--2.213]   type = 11.00 (SB11_A_0_l)   stellarity = 0.67   chisq2 = 228.40   ODDS = 0.46   z_cluster = 0.228