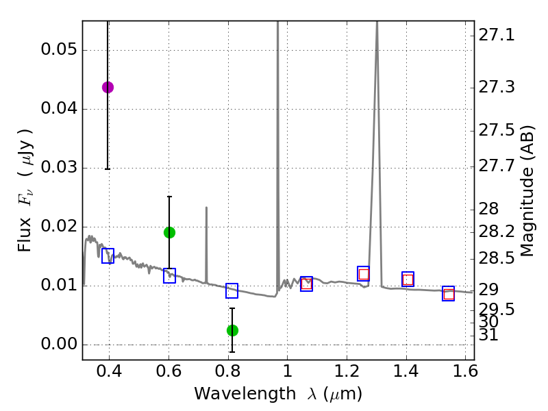
RXS0603+42-S IR detection object #6814

Color images and BPZ results
Catalog: 6814.cat
Black segments are analyzed here.   Roll mouse over color images to view segments.
Best viewed in a wide browser window (1200 pixels or more).   Download SED & P(z) plots to view larger versions.
In P(z) plots: Yellow lines mark the cluster redshift z = 0.228,  

Object #6814   x,y = (3526, 1222)   RA, Dec = (06:03:20.880, 42:08:39.48) = (90.83700, 42.14430)   BPZ = 1.597 [0.383--3.829]   type = 11.00 (SB11_A_0_l)   stellarity = 0.36   chisq2 = 8.64   ODDS = 0.13   z_cluster = 0.228