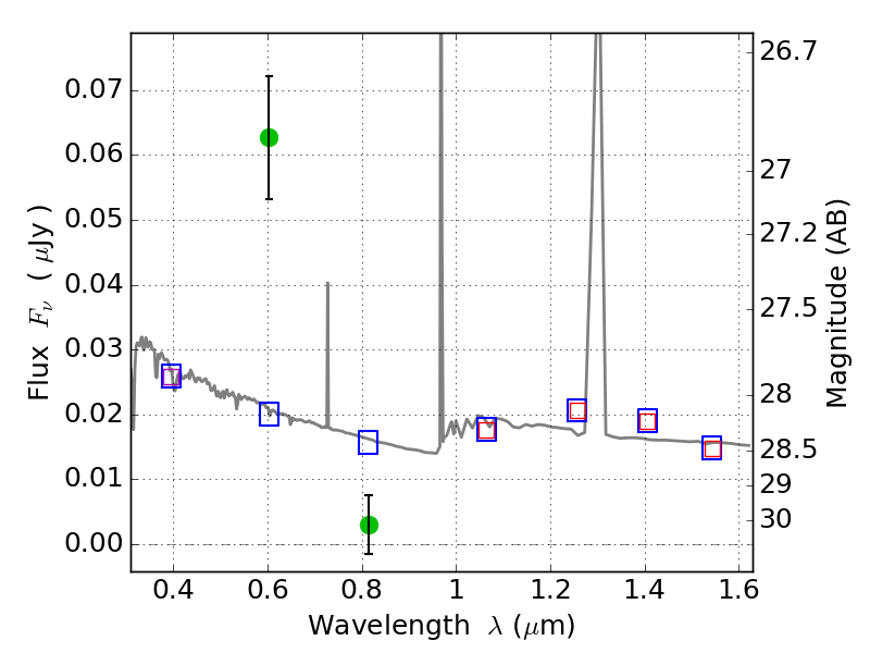
RXS0603+42-S IR detection object #6790

Color images and BPZ results
Catalog: 6790.cat
Black segments are analyzed here.   Roll mouse over color images to view segments.
Best viewed in a wide browser window (1200 pixels or more).   Download SED & P(z) plots to view larger versions.
In P(z) plots: Yellow lines mark the cluster redshift z = 0.228,  

Object #6790   x,y = (3611, 1233)   RA, Dec = (06:03:20.424, 42:08:40.20) = (90.83510, 42.14450)   BPZ = 1.597 [0.360--3.525]   type = 11.00 (SB11_A_0_l)   stellarity = 0.72   chisq2 = 26.18   ODDS = 0.12   z_cluster = 0.228