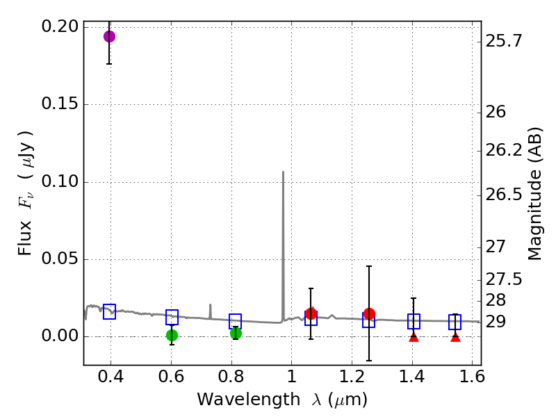
RXS0603+42-S IR detection object #6743

Color images and BPZ results
Catalog: 6743.cat
Black segments are analyzed here.   Roll mouse over color images to view segments.
Best viewed in a wide browser window (1200 pixels or more).   Download SED & P(z) plots to view larger versions.
In P(z) plots: Yellow lines mark the cluster redshift z = 0.228,  

Object #6743   x,y = (3546, 1257)   RA, Dec = (06:03:20.784, 42:08:41.64) = (90.83660, 42.14490)   BPZ = 1.612 [0.541--3.670]   type = 11.00 (SB11_A_0_l)   stellarity = 0.73   chisq2 = 25.98   ODDS = 0.19   z_cluster = 0.228