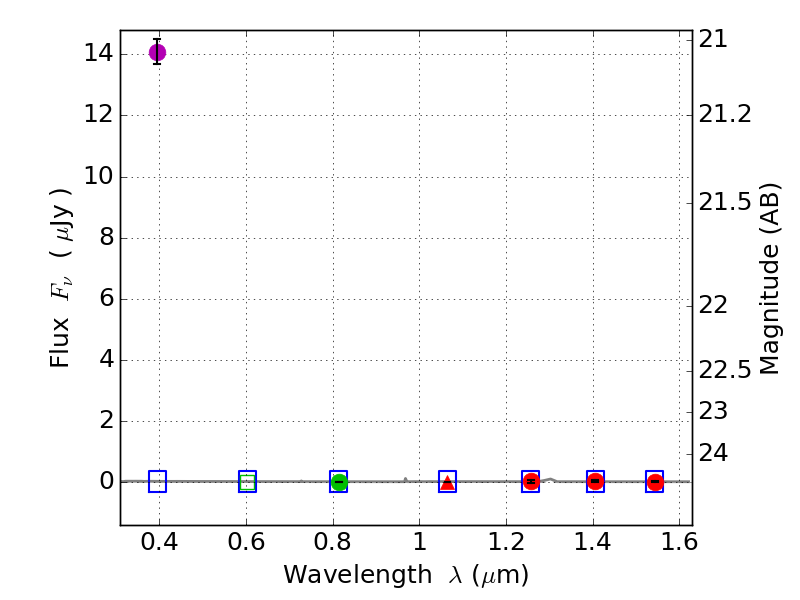
RXS0603+42-S IR detection object #6742

Color images and BPZ results
Catalog: 6742.cat
Black segments are analyzed here.   Roll mouse over color images to view segments.
Best viewed in a wide browser window (1200 pixels or more).   Download SED & P(z) plots to view larger versions.
In P(z) plots: Yellow lines mark the cluster redshift z = 0.228,  

Object #6742   x,y = (2428, 1257)   RA, Dec = (06:03:26.808, 42:08:41.64) = (90.86170, 42.14490)   BPZ = 1.598 [0.329--6.051]   type = 11.00 (SB11_A_0_l)   stellarity = 1.00   chisq2 = 382.40   ODDS = 0.09   z_cluster = 0.228