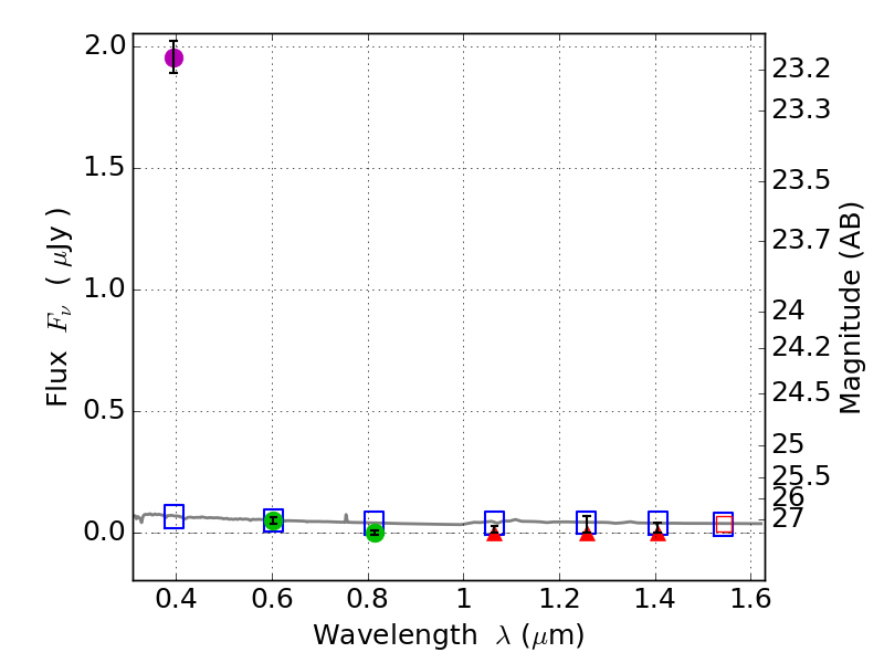
RXS0603+42-S IR detection object #6734

Color images and BPZ results
Catalog: 6734.cat
Black segments are analyzed here.   Roll mouse over color images to view segments.
Best viewed in a wide browser window (1200 pixels or more).   Download SED & P(z) plots to view larger versions.
In P(z) plots: Yellow lines mark the cluster redshift z = 0.228,  

Object #6734   x,y = (3530, 1258)   RA, Dec = (06:03:20.856, 42:08:42.00) = (90.83690, 42.14500)   BPZ = 1.699 [1.374--2.132]   type = 11.00 (SB11_A_0_l)   stellarity = 0.76   chisq2 = 268.60   ODDS = 0.44   z_cluster = 0.228