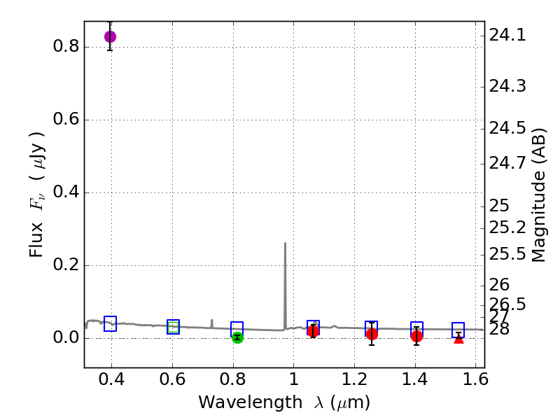
RXS0603+42-S IR detection object #6729

Color images and BPZ results
Catalog: 6729.cat
Black segments are analyzed here.   Roll mouse over color images to view segments.
Best viewed in a wide browser window (1200 pixels or more).   Download SED & P(z) plots to view larger versions.
In P(z) plots: Yellow lines mark the cluster redshift z = 0.228,  

Object #6729   x,y = (2441, 1262)   RA, Dec = (06:03:26.736, 42:08:42.00) = (90.86140, 42.14500)   BPZ = 1.612 [1.240--2.210]   type = 11.00 (SB11_A_0_l)   stellarity = 0.98   chisq2 = 136.20   ODDS = 0.40   z_cluster = 0.228