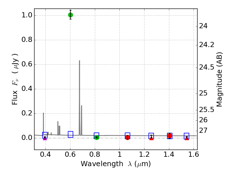
RXS0603+42-S IR detection object #6726

Color images and BPZ results
Catalog: 6726.cat
Black segments are analyzed here.   Roll mouse over color images to view segments.
Best viewed in a wide browser window (1200 pixels or more).   Download SED & P(z) plots to view larger versions.
In P(z) plots: Yellow lines mark the cluster redshift z = 0.228,  

Object #6726   x,y = (2656, 1265)   RA, Dec = (06:03:25.584, 42:08:42.36) = (90.85660, 42.14510)   BPZ = 0.030 [0.027--3.648]   type = 11.00 (SB11_A_0_l)   stellarity = 0.77   chisq2 = 178.10   ODDS = 0.07   z_cluster = 0.228