RXS0603+42-S IR detection object #6721

Color images and BPZ results
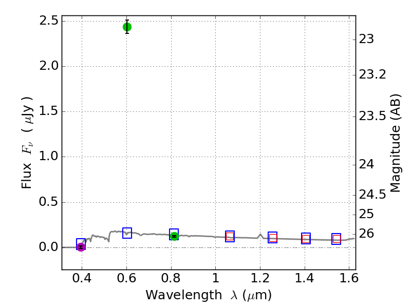
Catalog: 6721.cat
Black segments are analyzed here.   Roll mouse over color images to view segments.
Best viewed in a wide browser window (1200 pixels or more).   Download SED & P(z) plots to view larger versions.
In P(z) plots: Yellow lines mark the cluster redshift z = 0.228,  

Object #6721   x,y = (2857, 1212)   RA, Dec = (06:03:24.480, 42:08:39.12) = (90.85200, 42.14420)   BPZ = 3.291 [3.163--3.555]   type = 11.00 (SB11_A_0_l)   stellarity = 0.82   chisq2 = 947.80   ODDS = 0.88   z_cluster = 0.228