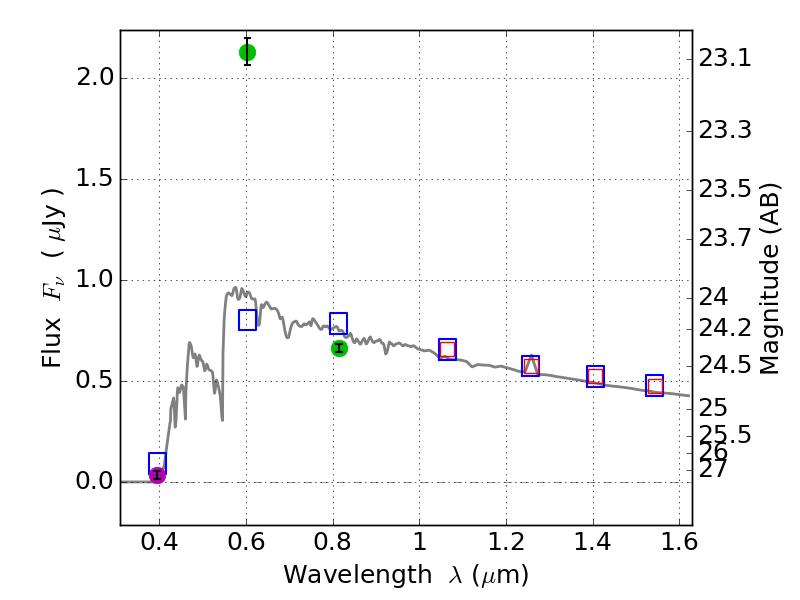
RXS0603+42-S IR detection object #6706

Color images and BPZ results
Catalog: 6706.cat
Black segments are analyzed here.   Roll mouse over color images to view segments.
Best viewed in a wide browser window (1200 pixels or more).   Download SED & P(z) plots to view larger versions.
In P(z) plots: Yellow lines mark the cluster redshift z = 0.228,  

Object #6706   x,y = (2908, 1205)   RA, Dec = (06:03:24.216, 42:08:38.76) = (90.85090, 42.14410)   BPZ = 3.489 [3.430--3.577]   type = 11.00 (SB11_A_0_l)   stellarity = 0.95   chisq2 = 241.70   ODDS = 1.00   z_cluster = 0.228