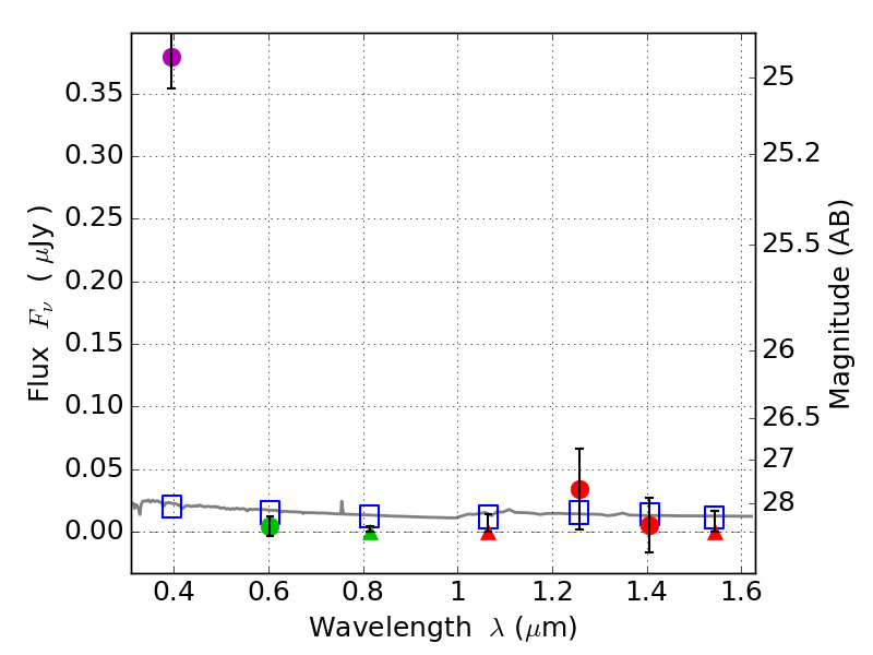
RXS0603+42-S IR detection object #6691

Color images and BPZ results
Catalog: 6691.cat
Black segments are analyzed here.   Roll mouse over color images to view segments.
Best viewed in a wide browser window (1200 pixels or more).   Download SED & P(z) plots to view larger versions.
In P(z) plots: Yellow lines mark the cluster redshift z = 0.228,  

Object #6691   x,y = (3521, 1264)   RA, Dec = (06:03:20.904, 42:08:42.00) = (90.83710, 42.14500)   BPZ = 1.696 [0.688--2.805]   type = 11.00 (SB11_A_0_l)   stellarity = 0.73   chisq2 = 52.15   ODDS = 0.26   z_cluster = 0.228