RXS0603+42-S IR detection object #6690

Color images and BPZ results
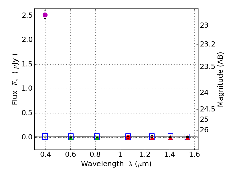
Catalog: 6690.cat
Black segments are analyzed here.   Roll mouse over color images to view segments.
Best viewed in a wide browser window (1200 pixels or more).   Download SED & P(z) plots to view larger versions.
In P(z) plots: Yellow lines mark the cluster redshift z = 0.228,  

Object #6690   x,y = (3522, 1269)   RA, Dec = (06:03:20.904, 42:08:42.36) = (90.83710, 42.14510)   BPZ = 1.700 [0.473--7.403]   type = 11.00 (SB11_A_0_l)   stellarity = 1.00   chisq2 = 244.90   ODDS = 0.16   z_cluster = 0.228