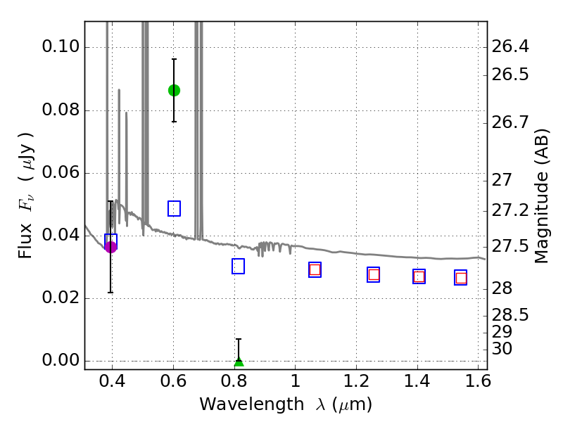
RXS0603+42-S IR detection object #668

Color images and BPZ results
Catalog: 668.cat
Black segments are analyzed here.   Roll mouse over color images to view segments.
Best viewed in a wide browser window (1200 pixels or more).   Download SED & P(z) plots to view larger versions.
In P(z) plots: Yellow lines mark the cluster redshift z = 0.228,  

Object #668   x,y = (2026, 4060)   RA, Dec = (06:03:28.968, 42:11:29.76) = (90.87070, 42.19160)   BPZ = 0.026 [0.015--2.861]   type = 11.00 (SB11_A_0_l)   stellarity = 0.36   chisq2 = 28.41   ODDS = 0.21   z_cluster = 0.228