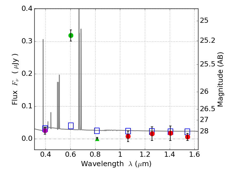
RXS0603+42-S IR detection object #6653

Color images and BPZ results
Catalog: 6653.cat
Black segments are analyzed here.   Roll mouse over color images to view segments.
Best viewed in a wide browser window (1200 pixels or more).   Download SED & P(z) plots to view larger versions.
In P(z) plots: Yellow lines mark the cluster redshift z = 0.228,  

Object #6653   x,y = (2561, 1291)   RA, Dec = (06:03:26.088, 42:08:43.80) = (90.85870, 42.14550)   BPZ = 0.022 [0.010--2.142]   type = 11.00 (SB11_A_0_l)   stellarity = 0.78   chisq2 = 71.30   ODDS = 0.93   z_cluster = 0.228