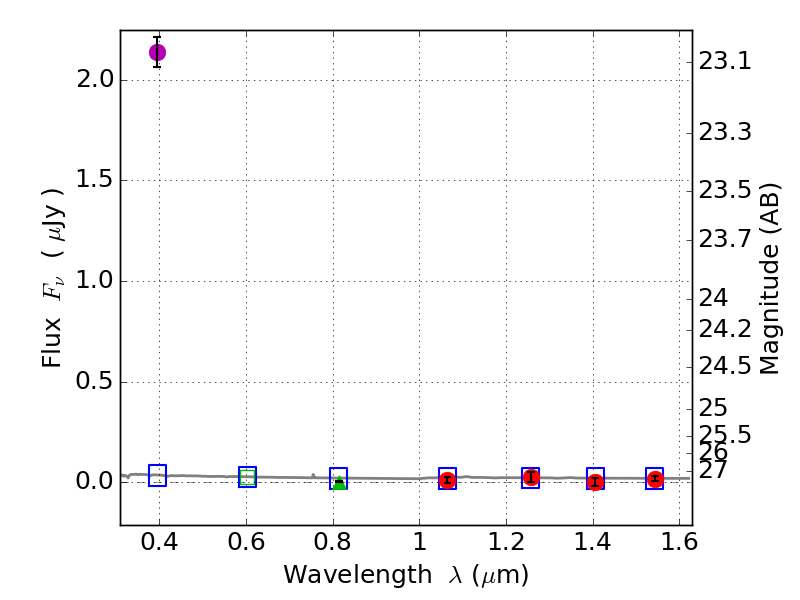
RXS0603+42-S IR detection object #6615

Color images and BPZ results
Catalog: 6615.cat
Black segments are analyzed here.   Roll mouse over color images to view segments.
Best viewed in a wide browser window (1200 pixels or more).   Download SED & P(z) plots to view larger versions.
In P(z) plots: Yellow lines mark the cluster redshift z = 0.228,  

Object #6615   x,y = (2242, 1311)   RA, Dec = (06:03:27.816, 42:08:44.88) = (90.86590, 42.14580)   BPZ = 1.700 [0.854--2.488]   type = 11.00 (SB11_A_0_l)   stellarity = 0.99   chisq2 = 269.70   ODDS = 0.30   z_cluster = 0.228