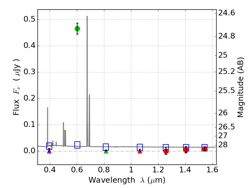
RXS0603+42-S IR detection object #6557

Color images and BPZ results
Catalog: 6557.cat
Black segments are analyzed here.   Roll mouse over color images to view segments.
Best viewed in a wide browser window (1200 pixels or more).   Download SED & P(z) plots to view larger versions.
In P(z) plots: Yellow lines mark the cluster redshift z = 0.228,  

Object #6557   x,y = (2361, 1342)   RA, Dec = (06:03:27.168, 42:08:46.68) = (90.86320, 42.14630)   BPZ = 0.028 [0.013--3.316]   type = 11.00 (SB11_A_0_l)   stellarity = 0.69   chisq2 = 119.30   ODDS = 0.38   z_cluster = 0.228