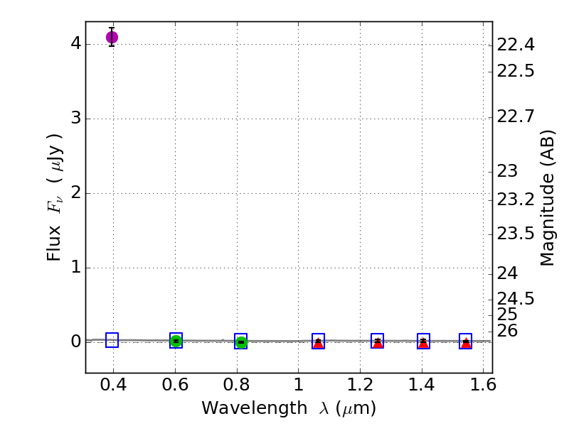
RXS0603+42-S IR detection object #6536

Color images and BPZ results
Catalog: 6536.cat
Black segments are analyzed here.   Roll mouse over color images to view segments.
Best viewed in a wide browser window (1200 pixels or more).   Download SED & P(z) plots to view larger versions.
In P(z) plots: Yellow lines mark the cluster redshift z = 0.228,  

Object #6536   x,y = (3569, 1349)   RA, Dec = (06:03:20.640, 42:08:47.40) = (90.83600, 42.14650)   BPZ = 1.700 [0.478--6.141]   type = 11.00 (SB11_A_0_l)   stellarity = 0.93   chisq2 = 272.40   ODDS = 0.18   z_cluster = 0.228