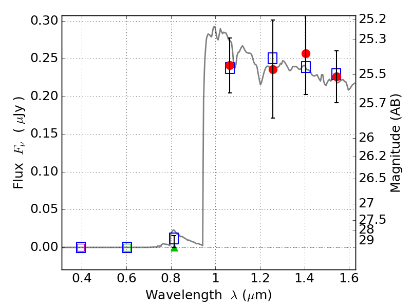
RXS0603+42-S IR detection object #6507

Color images and BPZ results
Catalog: 6507.cat
Black segments are analyzed here.   Roll mouse over color images to view segments.
Best viewed in a wide browser window (1200 pixels or more).   Download SED & P(z) plots to view larger versions.
In P(z) plots: Yellow lines mark the cluster redshift z = 0.228,  

Object #6507   x,y = (1679, 1334)   RA, Dec = (06:03:30.840, 42:08:46.32) = (90.87850, 42.14620)   BPZ = 6.770 [6.312--7.355]   type = 10.40 (SB3_B10 - SB11_A_0_l)   stellarity = 0.00   chisq2 = 0.22   ODDS = 0.76   z_cluster = 0.228