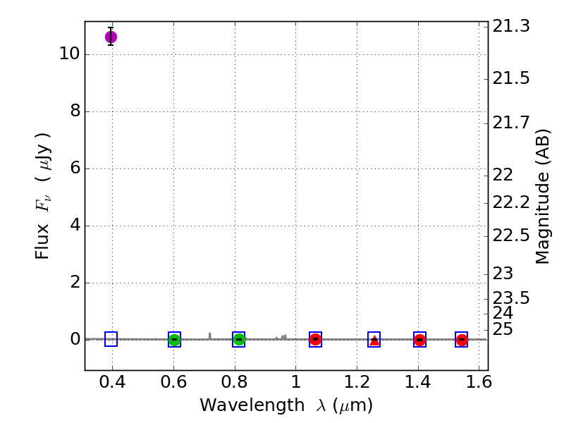
RXS0603+42-S IR detection object #6504

Color images and BPZ results
Catalog: 6504.cat
Black segments are analyzed here.   Roll mouse over color images to view segments.
Best viewed in a wide browser window (1200 pixels or more).   Download SED & P(z) plots to view larger versions.
In P(z) plots: Yellow lines mark the cluster redshift z = 0.228,  

Object #6504   x,y = (3586, 1362)   RA, Dec = (06:03:20.568, 42:08:48.12) = (90.83570, 42.14670)   BPZ = 0.928 [0.227--4.289]   type = 11.00 (SB11_A_0_l)   stellarity = 0.90   chisq2 = 286.00   ODDS = 0.09   z_cluster = 0.228