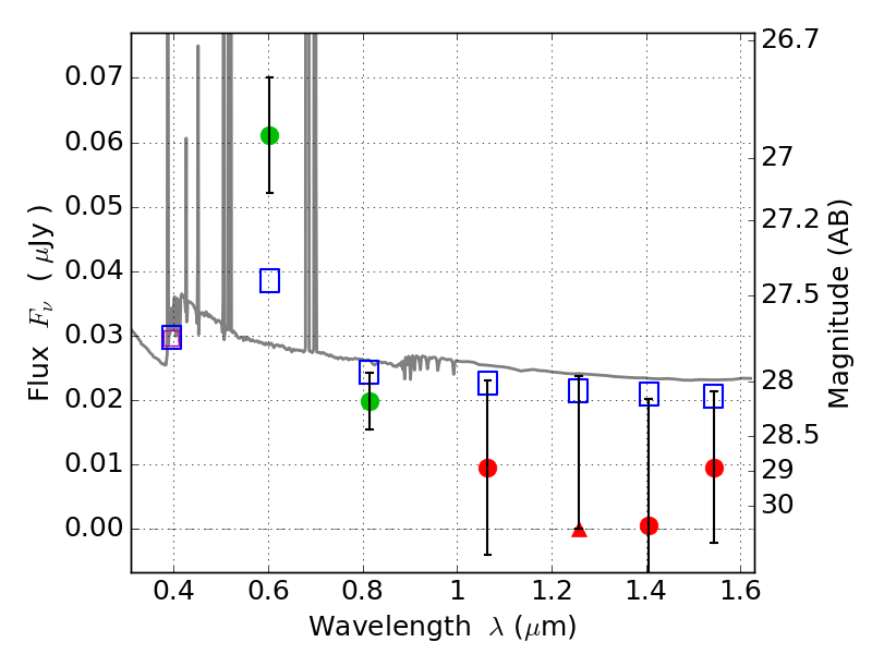
RXS0603+42-S IR detection object #6501

Color images and BPZ results
Catalog: 6501.cat
Black segments are analyzed here.   Roll mouse over color images to view segments.
Best viewed in a wide browser window (1200 pixels or more).   Download SED & P(z) plots to view larger versions.
In P(z) plots: Yellow lines mark the cluster redshift z = 0.228,  

Object #6501   x,y = (3645, 1364)   RA, Dec = (06:03:20.232, 42:08:48.12) = (90.83430, 42.14670)   BPZ = 0.037 [0.027--3.534]   type = 11.00 (SB11_A_0_l)   stellarity = 0.51   chisq2 = 3.38   ODDS = 0.09   z_cluster = 0.228