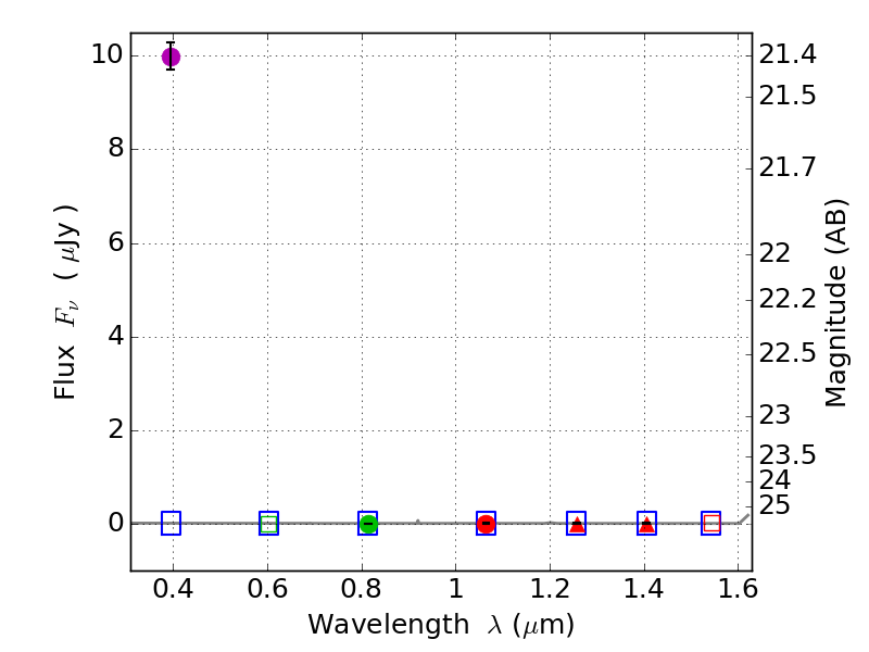
RXS0603+42-S IR detection object #6474

Color images and BPZ results
Catalog: 6474.cat
Black segments are analyzed here.   Roll mouse over color images to view segments.
Best viewed in a wide browser window (1200 pixels or more).   Download SED & P(z) plots to view larger versions.
In P(z) plots: Yellow lines mark the cluster redshift z = 0.228,  

Object #6474   x,y = (2026, 1386)   RA, Dec = (06:03:28.968, 42:08:49.56) = (90.87070, 42.14710)   BPZ = 1.466 [0.366--9.452]   type = 11.00 (SB11_A_0_l)   stellarity = 1.00   chisq2 = 573.80   ODDS = 0.05   z_cluster = 0.228