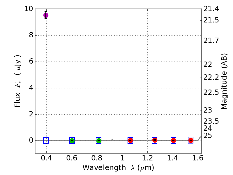
RXS0603+42-S IR detection object #6439

Color images and BPZ results
Catalog: 6439.cat
Black segments are analyzed here.   Roll mouse over color images to view segments.
Best viewed in a wide browser window (1200 pixels or more).   Download SED & P(z) plots to view larger versions.
In P(z) plots: Yellow lines mark the cluster redshift z = 0.228,  

Object #6439   x,y = (3567, 1398)   RA, Dec = (06:03:20.664, 42:08:50.28) = (90.83610, 42.14730)   BPZ = 1.470 [0.484--7.397]   type = 10.70 (SB11_A_0_l - SB3_B10)   stellarity = 0.77   chisq2 = 287.40   ODDS = 0.12   z_cluster = 0.228