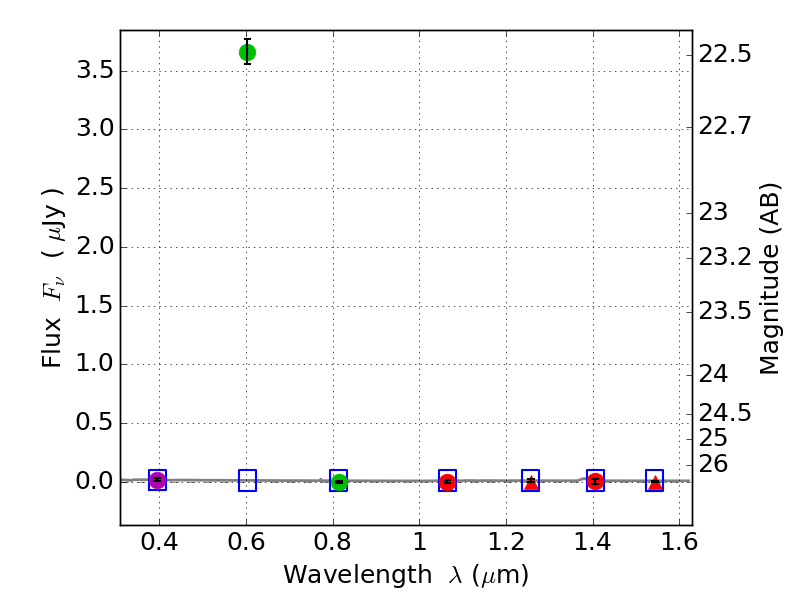
RXS0603+42-S IR detection object #6435

Color images and BPZ results
Catalog: 6435.cat
Black segments are analyzed here.   Roll mouse over color images to view segments.
Best viewed in a wide browser window (1200 pixels or more).   Download SED & P(z) plots to view larger versions.
In P(z) plots: Yellow lines mark the cluster redshift z = 0.228,  

Object #6435   x,y = (2299, 1401)   RA, Dec = (06:03:27.504, 42:08:50.28) = (90.86460, 42.14730)   BPZ = 1.763 [0.304--7.593]   type = 11.00 (SB11_A_0_l)   stellarity = 0.94   chisq2 = 286.30   ODDS = 0.08   z_cluster = 0.228