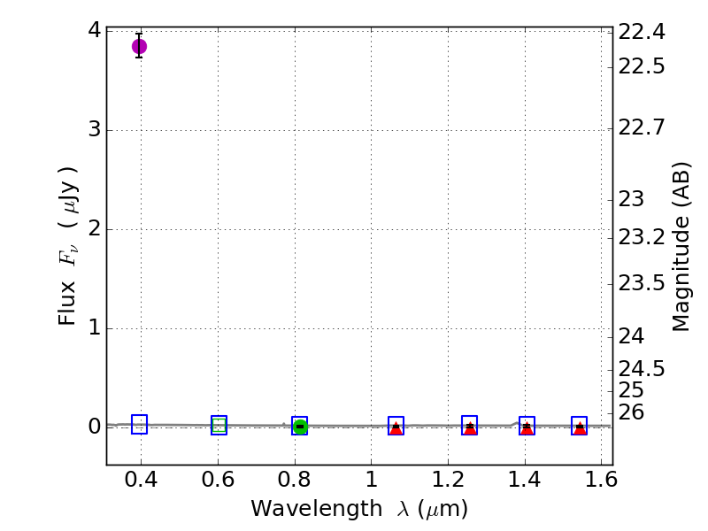
RXS0603+42-S IR detection object #6419

Color images and BPZ results
Catalog: 6419.cat
Black segments are analyzed here.   Roll mouse over color images to view segments.
Best viewed in a wide browser window (1200 pixels or more).   Download SED & P(z) plots to view larger versions.
In P(z) plots: Yellow lines mark the cluster redshift z = 0.228,  

Object #6419   x,y = (1941, 1411)   RA, Dec = (06:03:29.424, 42:08:51.00) = (90.87260, 42.14750)   BPZ = 1.763 [0.303--5.793]   type = 11.00 (SB11_A_0_l)   stellarity = 0.97   chisq2 = 328.90   ODDS = 0.13   z_cluster = 0.228