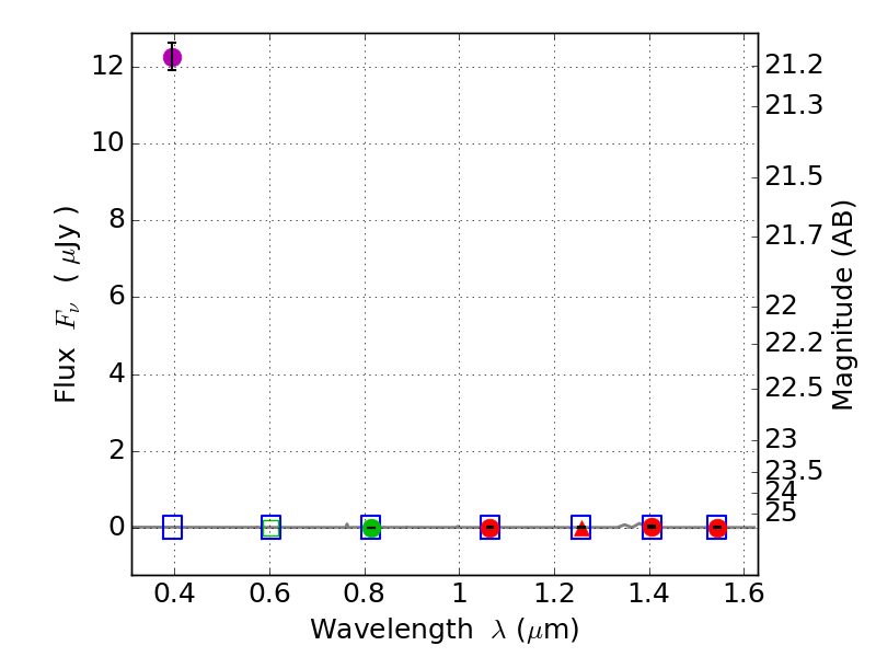
RXS0603+42-S IR detection object #6368

Color images and BPZ results
Catalog: 6368.cat
Black segments are analyzed here.   Roll mouse over color images to view segments.
Best viewed in a wide browser window (1200 pixels or more).   Download SED & P(z) plots to view larger versions.
In P(z) plots: Yellow lines mark the cluster redshift z = 0.228,  

Object #6368   x,y = (1857, 1439)   RA, Dec = (06:03:29.880, 42:08:52.80) = (90.87450, 42.14800)   BPZ = 1.054 [0.290--6.839]   type = 11.00 (SB11_A_0_l)   stellarity = 1.00   chisq2 = 382.60   ODDS = 0.06   z_cluster = 0.228