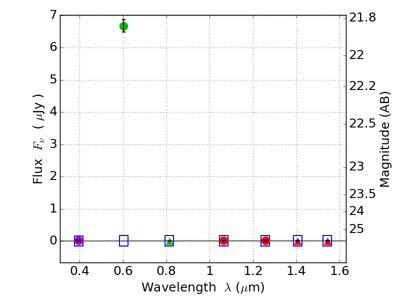
RXS0603+42-S IR detection object #6366

Color images and BPZ results
Catalog: 6366.cat
Black segments are analyzed here.   Roll mouse over color images to view segments.
Best viewed in a wide browser window (1200 pixels or more).   Download SED & P(z) plots to view larger versions.
In P(z) plots: Yellow lines mark the cluster redshift z = 0.228,  

Object #6366   x,y = (2141, 1440)   RA, Dec = (06:03:28.344, 42:08:52.80) = (90.86810, 42.14800)   BPZ = 0.390 [0.075--1.705]   type = 7.00 (Scd_B10)   stellarity = 0.90   chisq2 = 287.40   ODDS = 0.14   z_cluster = 0.228