RXS0603+42-S IR detection object #6360

Color images and BPZ results
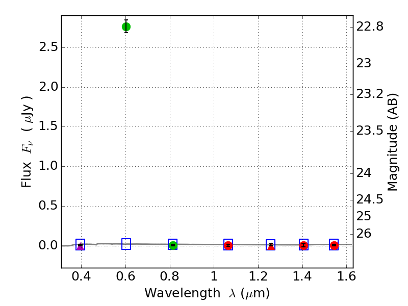
Catalog: 6360.cat
Black segments are analyzed here.   Roll mouse over color images to view segments.
Best viewed in a wide browser window (1200 pixels or more).   Download SED & P(z) plots to view larger versions.
In P(z) plots: Yellow lines mark the cluster redshift z = 0.228,  

Object #6360   x,y = (2064, 1444)   RA, Dec = (06:03:28.776, 42:08:52.80) = (90.86990, 42.14800)   BPZ = 2.853 [0.190--4.012]   type = 11.00 (SB11_A_0_l)   stellarity = 0.65   chisq2 = 273.40   ODDS = 0.17   z_cluster = 0.228