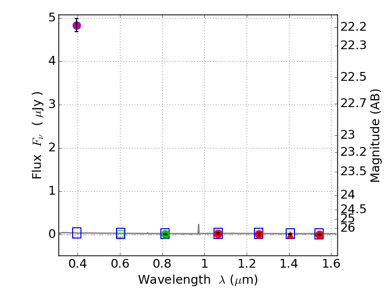
RXS0603+42-S IR detection object #6347

Color images and BPZ results
Catalog: 6347.cat
Black segments are analyzed here.   Roll mouse over color images to view segments.
Best viewed in a wide browser window (1200 pixels or more).   Download SED & P(z) plots to view larger versions.
In P(z) plots: Yellow lines mark the cluster redshift z = 0.228,  

Object #6347   x,y = (1809, 1453)   RA, Dec = (06:03:30.144, 42:08:53.52) = (90.87560, 42.14820)   BPZ = 1.613 [0.357--3.174]   type = 11.00 (SB11_A_0_l)   stellarity = 0.94   chisq2 = 348.70   ODDS = 0.20   z_cluster = 0.228