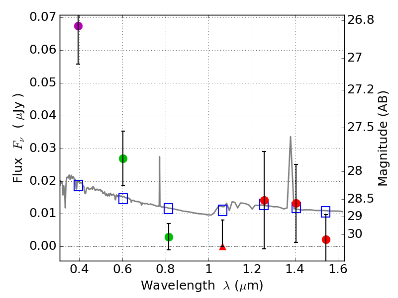
RXS0603+42-S IR detection object #6330

Color images and BPZ results
Catalog: 6330.cat
Black segments are analyzed here.   Roll mouse over color images to view segments.
Best viewed in a wide browser window (1200 pixels or more).   Download SED & P(z) plots to view larger versions.
In P(z) plots: Yellow lines mark the cluster redshift z = 0.228,  

Object #6330   x,y = (2300, 1465)   RA, Dec = (06:03:27.504, 42:08:54.24) = (90.86460, 42.14840)   BPZ = 1.760 [0.650--2.734]   type = 11.00 (SB11_A_0_l)   stellarity = 0.38   chisq2 = 6.57   ODDS = 0.26   z_cluster = 0.228