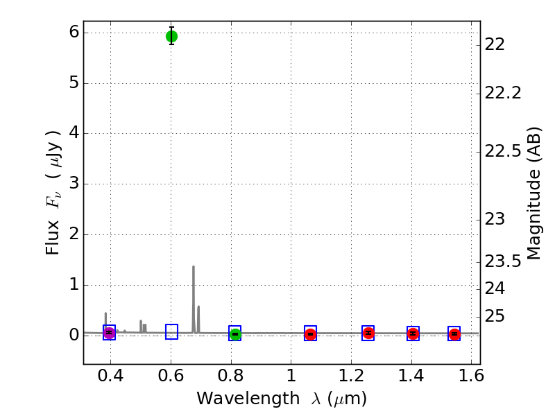
RXS0603+42-S IR detection object #6316

Color images and BPZ results
Catalog: 6316.cat
Black segments are analyzed here.   Roll mouse over color images to view segments.
Best viewed in a wide browser window (1200 pixels or more).   Download SED & P(z) plots to view larger versions.
In P(z) plots: Yellow lines mark the cluster redshift z = 0.228,  

Object #6316   x,y = (2031, 1458)   RA, Dec = (06:03:28.944, 42:08:53.88) = (90.87060, 42.14830)   BPZ = 0.032 [0.042--3.042]   type = 11.00 (SB11_A_0_l)   stellarity = 0.98   chisq2 = 281.90   ODDS = 0.04   z_cluster = 0.228