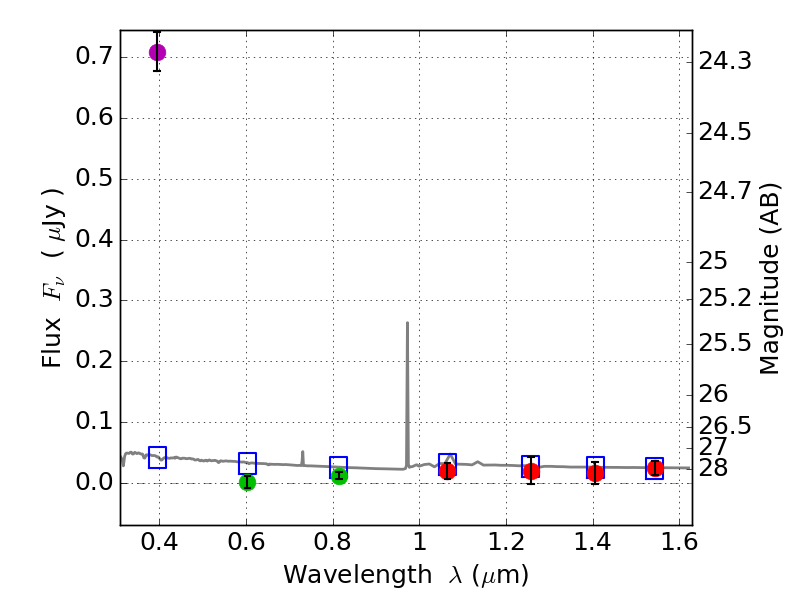
RXS0603+42-S IR detection object #6310

Color images and BPZ results
Catalog: 6310.cat
Black segments are analyzed here.   Roll mouse over color images to view segments.
Best viewed in a wide browser window (1200 pixels or more).   Download SED & P(z) plots to view larger versions.
In P(z) plots: Yellow lines mark the cluster redshift z = 0.228,  

Object #6310   x,y = (3604, 1449)   RA, Dec = (06:03:20.472, 42:08:53.16) = (90.83530, 42.14810)   BPZ = 1.611 [1.162--2.153]   type = 11.00 (SB11_A_0_l)   stellarity = 0.65   chisq2 = 106.80   ODDS = 0.38   z_cluster = 0.228