RXS0603+42-S IR detection object #6255

Color images and BPZ results
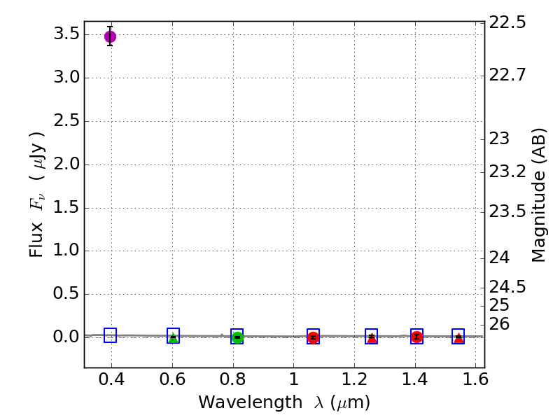
Catalog: 6255.cat
Black segments are analyzed here.   Roll mouse over color images to view segments.
Best viewed in a wide browser window (1200 pixels or more).   Download SED & P(z) plots to view larger versions.
In P(z) plots: Yellow lines mark the cluster redshift z = 0.228,  

Object #6255   x,y = (3603, 1485)   RA, Dec = (06:03:20.472, 42:08:55.32) = (90.83530, 42.14870)   BPZ = 1.731 [0.365--5.520]   type = 11.00 (SB11_A_0_l)   stellarity = 0.92   chisq2 = 261.30   ODDS = 0.16   z_cluster = 0.228