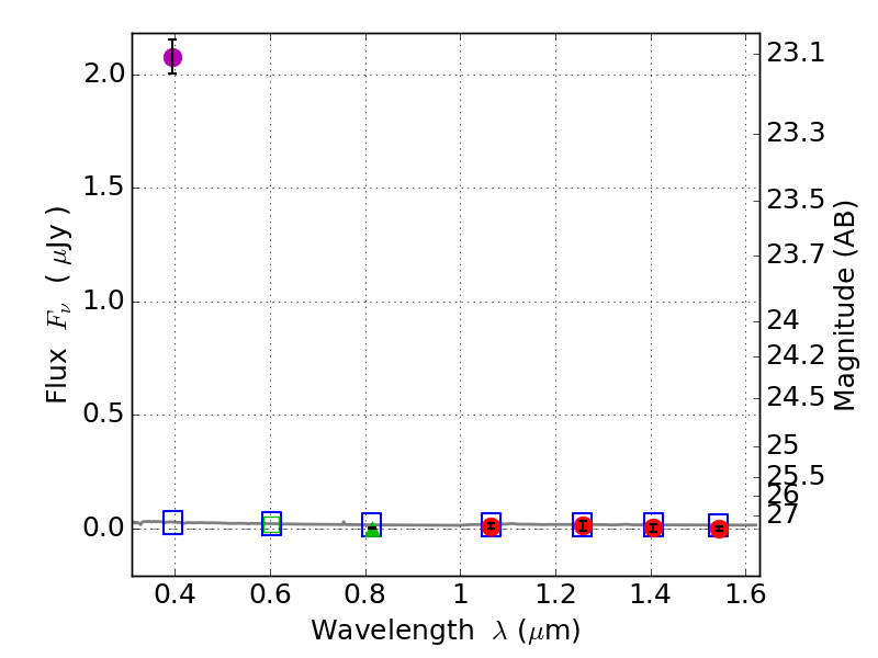
RXS0603+42-S IR detection object #6245

Color images and BPZ results
Catalog: 6245.cat
Black segments are analyzed here.   Roll mouse over color images to view segments.
Best viewed in a wide browser window (1200 pixels or more).   Download SED & P(z) plots to view larger versions.
In P(z) plots: Yellow lines mark the cluster redshift z = 0.228,  

Object #6245   x,y = (1721, 1490)   RA, Dec = (06:03:30.624, 42:08:55.68) = (90.87760, 42.14880)   BPZ = 1.702 [0.489--3.480]   type = 11.00 (SB11_A_0_l)   stellarity = 0.96   chisq2 = 268.20   ODDS = 0.27   z_cluster = 0.228