RXS0603+42-S IR detection object #6215

Color images and BPZ results
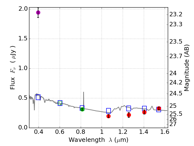
Catalog: 6215.cat
Black segments are analyzed here.   Roll mouse over color images to view segments.
Best viewed in a wide browser window (1200 pixels or more).   Download SED & P(z) plots to view larger versions.
In P(z) plots: Yellow lines mark the cluster redshift z = 0.228,  

Object #6215   x,y = (1751, 1475)   RA, Dec = (06:03:30.456, 42:08:54.96) = (90.87690, 42.14860)   BPZ = 1.959 [1.813--2.163]   type = 11.00 (SB11_A_0_l)   stellarity = 0.98   chisq2 = 88.05   ODDS = 0.84   z_cluster = 0.228