RXS0603+42-S IR detection object #6212

Color images and BPZ results
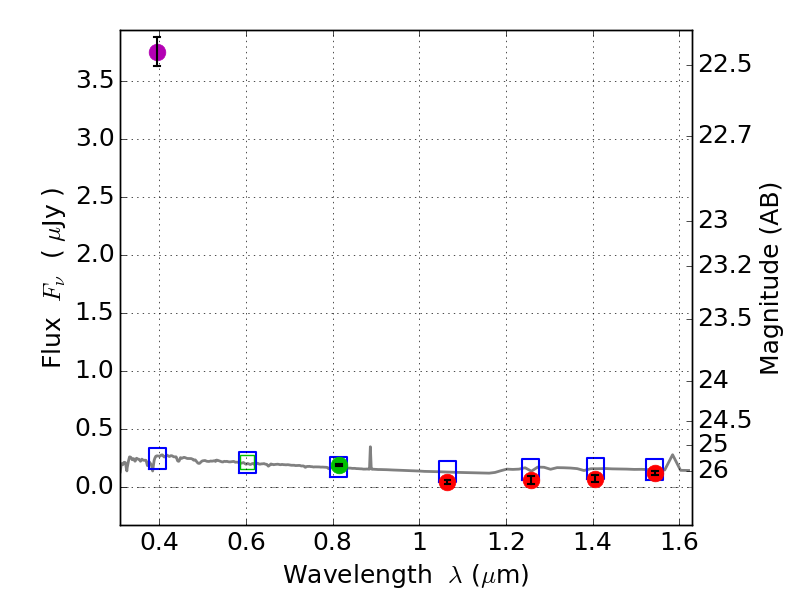
Catalog: 6212.cat
Black segments are analyzed here.   Roll mouse over color images to view segments.
Best viewed in a wide browser window (1200 pixels or more).   Download SED & P(z) plots to view larger versions.
In P(z) plots: Yellow lines mark the cluster redshift z = 0.228,  

Object #6212   x,y = (1752, 1467)   RA, Dec = (06:03:30.456, 42:08:54.24) = (90.87690, 42.14840)   BPZ = 2.173 [1.869--2.292]   type = 11.00 (SB11_A_0_l)   stellarity = 1.00   chisq2 = 269.40   ODDS = 0.66   z_cluster = 0.228