RXS0603+42-S IR detection object #6208

Color images and BPZ results
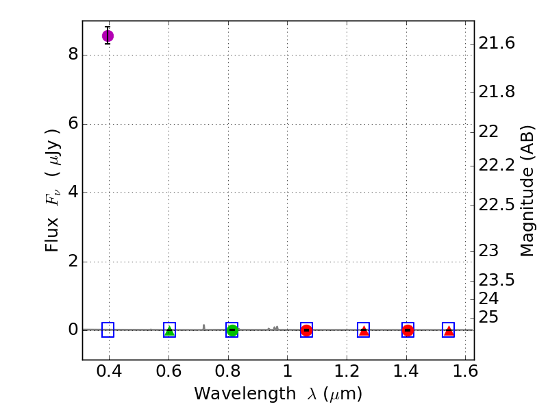
Catalog: 6208.cat
Black segments are analyzed here.   Roll mouse over color images to view segments.
Best viewed in a wide browser window (1200 pixels or more).   Download SED & P(z) plots to view larger versions.
In P(z) plots: Yellow lines mark the cluster redshift z = 0.228,  

Object #6208   x,y = (3612, 1507)   RA, Dec = (06:03:20.424, 42:08:56.76) = (90.83510, 42.14910)   BPZ = 0.928 [0.216--5.110]   type = 11.00 (SB11_A_0_l)   stellarity = 0.98   chisq2 = 286.20   ODDS = 0.07   z_cluster = 0.228