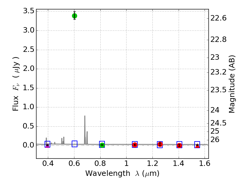
RXS0603+42-S IR detection object #6193

Color images and BPZ results
Catalog: 6193.cat
Black segments are analyzed here.   Roll mouse over color images to view segments.
Best viewed in a wide browser window (1200 pixels or more).   Download SED & P(z) plots to view larger versions.
In P(z) plots: Yellow lines mark the cluster redshift z = 0.228,  

Object #6193   x,y = (1965, 1511)   RA, Dec = (06:03:29.304, 42:08:57.12) = (90.87210, 42.14920)   BPZ = 0.038 [0.041--3.804]   type = 11.00 (SB11_A_0_l)   stellarity = 0.78   chisq2 = 279.50   ODDS = 0.04   z_cluster = 0.228