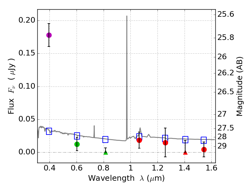
RXS0603+42-S IR detection object #6179

Color images and BPZ results
Catalog: 6179.cat
Black segments are analyzed here.   Roll mouse over color images to view segments.
Best viewed in a wide browser window (1200 pixels or more).   Download SED & P(z) plots to view larger versions.
In P(z) plots: Yellow lines mark the cluster redshift z = 0.228,  

Object #6179   x,y = (2938, 1521)   RA, Dec = (06:03:24.048, 42:08:57.48) = (90.85020, 42.14930)   BPZ = 1.612 [1.004--2.290]   type = 11.00 (SB11_A_0_l)   stellarity = 0.41   chisq2 = 20.41   ODDS = 0.35   z_cluster = 0.228