RXS0603+42-S IR detection object #6168

Color images and BPZ results
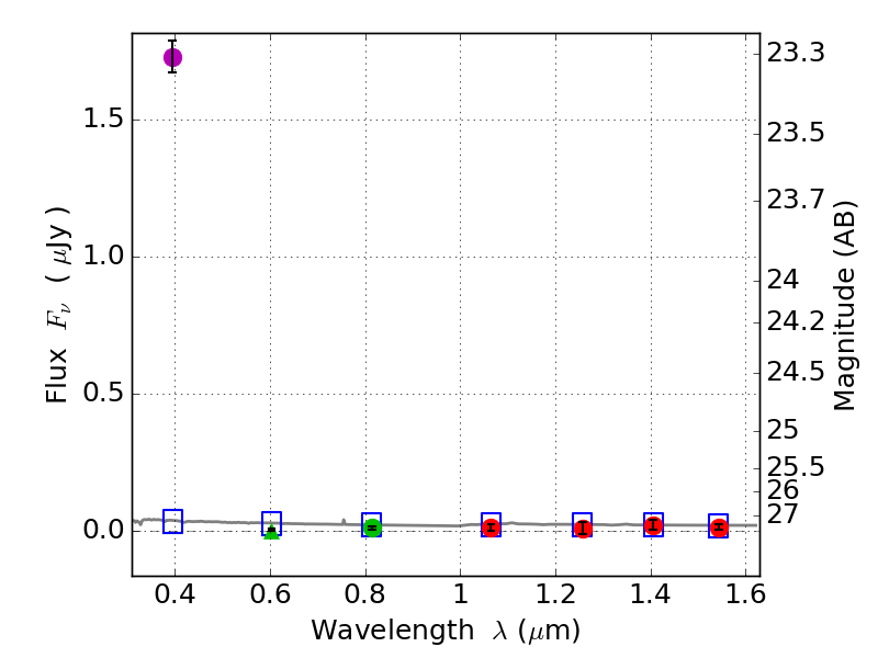
Catalog: 6168.cat
Black segments are analyzed here.   Roll mouse over color images to view segments.
Best viewed in a wide browser window (1200 pixels or more).   Download SED & P(z) plots to view larger versions.
In P(z) plots: Yellow lines mark the cluster redshift z = 0.228,  

Object #6168   x,y = (3586, 1528)   RA, Dec = (06:03:20.568, 42:08:57.84) = (90.83570, 42.14940)   BPZ = 1.698 [0.940--2.281]   type = 11.00 (SB11_A_0_l)   stellarity = 0.65   chisq2 = 215.10   ODDS = 0.37   z_cluster = 0.228