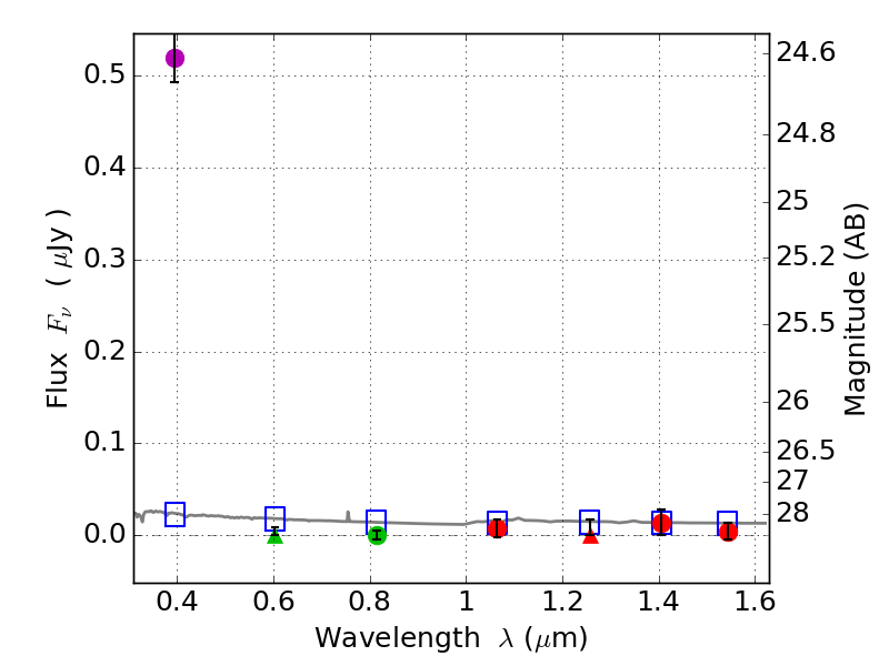
RXS0603+42-S IR detection object #6157

Color images and BPZ results
Catalog: 6157.cat
Black segments are analyzed here.   Roll mouse over color images to view segments.
Best viewed in a wide browser window (1200 pixels or more).   Download SED & P(z) plots to view larger versions.
In P(z) plots: Yellow lines mark the cluster redshift z = 0.228,  

Object #6157   x,y = (3628, 1526)   RA, Dec = (06:03:20.328, 42:08:57.84) = (90.83470, 42.14940)   BPZ = 1.699 [0.899--2.450]   type = 11.00 (SB11_A_0_l)   stellarity = 0.65   chisq2 = 88.20   ODDS = 0.33   z_cluster = 0.228