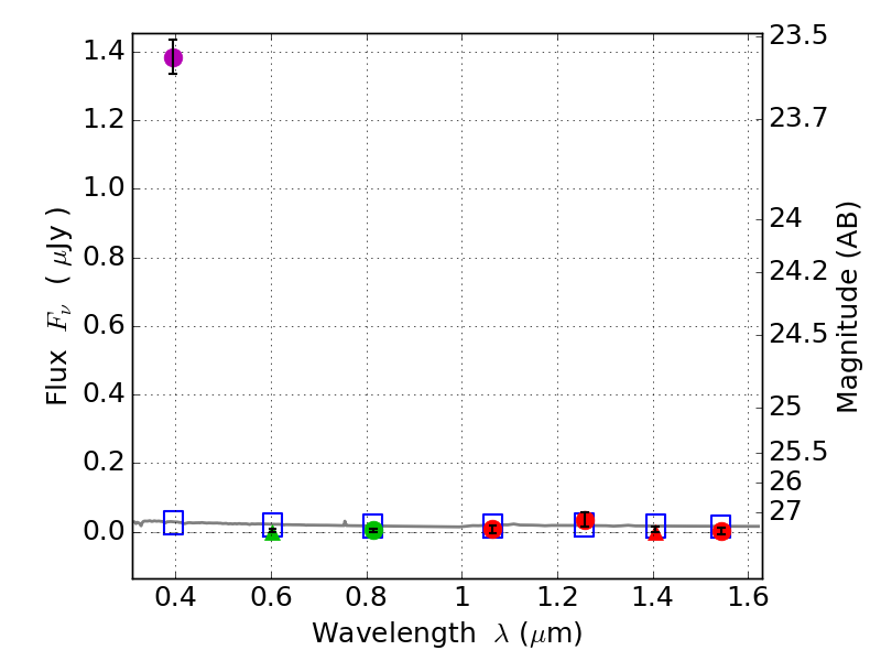
RXS0603+42-S IR detection object #6148

Color images and BPZ results
Catalog: 6148.cat
Black segments are analyzed here.   Roll mouse over color images to view segments.
Best viewed in a wide browser window (1200 pixels or more).   Download SED & P(z) plots to view larger versions.
In P(z) plots: Yellow lines mark the cluster redshift z = 0.228,  

Object #6148   x,y = (3600, 1534)   RA, Dec = (06:03:20.472, 42:08:58.20) = (90.83530, 42.14950)   BPZ = 1.697 [0.820--2.381]   type = 11.00 (SB11_A_0_l)   stellarity = 0.65   chisq2 = 195.40   ODDS = 0.37   z_cluster = 0.228