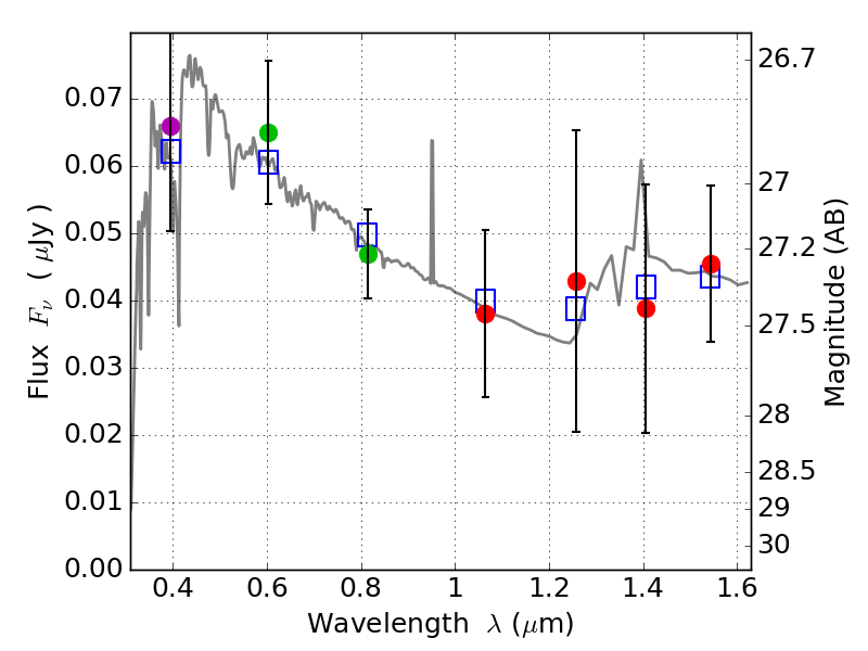
RXS0603+42-S IR detection object #6133

Color images and BPZ results
Catalog: 6133.cat
Black segments are analyzed here.   Roll mouse over color images to view segments.
Best viewed in a wide browser window (1200 pixels or more).   Download SED & P(z) plots to view larger versions.
In P(z) plots: Yellow lines mark the cluster redshift z = 0.228,  

Object #6133   x,y = (2632, 1542)   RA, Dec = (06:03:25.704, 42:08:58.92) = (90.85710, 42.14970)   BPZ = 2.396 [0.420--2.839]   type = 11.00 (SB11_A_0_l)   stellarity = 0.38   chisq2 = 0.11   ODDS = 0.25   z_cluster = 0.228