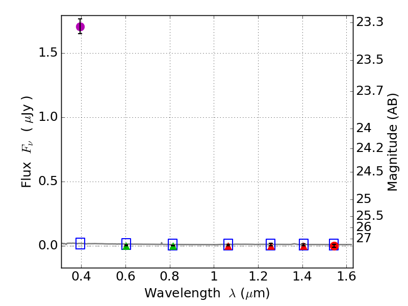
RXS0603+42-S IR detection object #6079

Color images and BPZ results
Catalog: 6079.cat
Black segments are analyzed here.   Roll mouse over color images to view segments.
Best viewed in a wide browser window (1200 pixels or more).   Download SED & P(z) plots to view larger versions.
In P(z) plots: Yellow lines mark the cluster redshift z = 0.228,  

Object #6079   x,y = (3620, 1569)   RA, Dec = (06:03:20.376, 42:09:00.36) = (90.83490, 42.15010)   BPZ = 1.731 [0.478--6.628]   type = 11.00 (SB11_A_0_l)   stellarity = 0.97   chisq2 = 219.00   ODDS = 0.18   z_cluster = 0.228