RXS0603+42-S IR detection object #6043

Color images and BPZ results
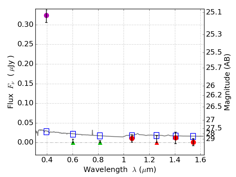
Catalog: 6043.cat
Black segments are analyzed here.   Roll mouse over color images to view segments.
Best viewed in a wide browser window (1200 pixels or more).   Download SED & P(z) plots to view larger versions.
In P(z) plots: Yellow lines mark the cluster redshift z = 0.228,  

Object #6043   x,y = (3544, 1588)   RA, Dec = (06:03:20.784, 42:09:01.44) = (90.83660, 42.15040)   BPZ = 1.700 [1.143--2.185]   type = 11.00 (SB11_A_0_l)   stellarity = 0.67   chisq2 = 68.08   ODDS = 0.49   z_cluster = 0.228