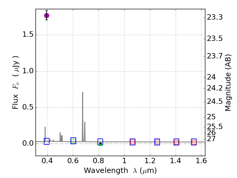
RXS0603+42-S IR detection object #6022

Color images and BPZ results
Catalog: 6022.cat
Black segments are analyzed here.   Roll mouse over color images to view segments.
Best viewed in a wide browser window (1200 pixels or more).   Download SED & P(z) plots to view larger versions.
In P(z) plots: Yellow lines mark the cluster redshift z = 0.228,  

Object #6022   x,y = (1402, 1595)   RA, Dec = (06:03:32.352, 42:09:02.16) = (90.88480, 42.15060)   BPZ = 0.026 [0.012--0.778]   type = 11.00 (SB11_A_0_l)   stellarity = 0.83   chisq2 = 765.70   ODDS = 0.46   z_cluster = 0.228