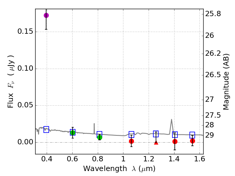
RXS0603+42-S IR detection object #5983

Color images and BPZ results
Catalog: 5983.cat
Black segments are analyzed here.   Roll mouse over color images to view segments.
Best viewed in a wide browser window (1200 pixels or more).   Download SED & P(z) plots to view larger versions.
In P(z) plots: Yellow lines mark the cluster redshift z = 0.228,  

Object #5983   x,y = (3633, 1617)   RA, Dec = (06:03:20.304, 42:09:03.24) = (90.83460, 42.15090)   BPZ = 1.764 [0.337--2.944]   type = 11.00 (SB11_A_0_l)   stellarity = 0.66   chisq2 = 17.14   ODDS = 0.20   z_cluster = 0.228