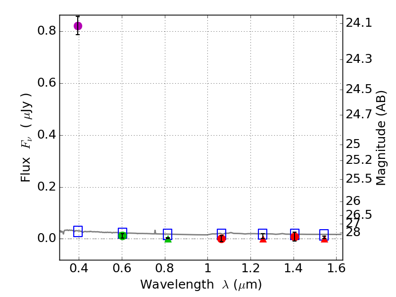
RXS0603+42-S IR detection object #5931

Color images and BPZ results
Catalog: 5931.cat
Black segments are analyzed here.   Roll mouse over color images to view segments.
Best viewed in a wide browser window (1200 pixels or more).   Download SED & P(z) plots to view larger versions.
In P(z) plots: Yellow lines mark the cluster redshift z = 0.228,  

Object #5931   x,y = (3675, 1641)   RA, Dec = (06:03:20.064, 42:09:04.68) = (90.83360, 42.15130)   BPZ = 1.699 [1.066--2.318]   type = 11.00 (SB11_A_0_l)   stellarity = 0.86   chisq2 = 134.20   ODDS = 0.42   z_cluster = 0.228