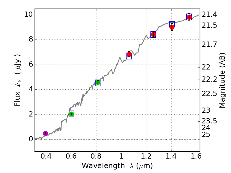
RXS0603+42-S IR detection object #5908

Color images and BPZ results
Catalog: 5908.cat
Black segments are analyzed here.   Roll mouse over color images to view segments.
Best viewed in a wide browser window (1200 pixels or more).   Download SED & P(z) plots to view larger versions.
In P(z) plots: Yellow lines mark the cluster redshift z = 0.228,  

Object #5908   x,y = (2183, 1621)   RA, Dec = (06:03:28.128, 42:09:03.60) = (90.86720, 42.15100)   BPZ = 0.308 [0.231--0.685]   type = 4.20 (Ell4_A_0 - ES0_B10)   stellarity = 0.73   chisq2 = 0.07   ODDS = 0.54   z_cluster = 0.228